MSC-ONSU CAS#: 57903-15-8; ChemWhat Code: 859958
Names & Identifiers |
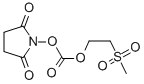
| Product Name | MSC-ONSU |
| Synonyms | MSC-ONSU;N-[2-(METHYLSULFONYL)ETHOXYCARBONYLOXY]SUCCINIMIDE;2-(METHANESULFONYL)ETHYL SUCCINIMIDYL CARBONATE;2-(METHYLSULFONYL)ETHYL N-SUCCINIMIDYL CARBONATE;2-(Methanesulfonyl)ethyl N-succinimidyl carbonate;2-(METHYLSULFONYL)ETHYL SUCCINIMIDYL CAR BONATE, 98%;2-(METHYLSULFONYL)ETHYL N-SUCCINIMIDYL CARBONATE 98+%;N-[2-(Methylsulfonyl)ethoxycarbonyloxy]succinimide, MSC-ONSu |
| CAS Registry Number | 57903-15-8 |
| Molecular Formula | C8H11NO7S |
| Molecular Weight | 265.24 |
| EINECS | |
| Other Registry Numbers | |
| IUPA Names, InChI, InChI Key, Canonical SMILES, etc.: | IUPA Names, InChI, InChI Key, Canonical SMILES, etc. |
![]() |
|
Chemical & Physical Properties |
| Melting point | 115-118 °C(lit.) |
| Storage | 2-8°C |
Safety & Hazards(Codes & Phrases) |
| Hazard Codes | Xi |
| R Phrase | 36/37/38 |
| S Phrase | 26-36 |
| WGK Germany | 3 |
| F | 10-21 |
| More Safety & Hazards From PubChem | Signal, GHS Hazard Statements, Precautionary Statement Codes, etc. |
Literature |
| Literature on PubChem | Synthesis References, Metabolite References, etc. |
Patents |
| Patents on PubChem | Related Patents Of This Product |
Transportation, Storage & Usage |
| Transportation | No Information |
| Storage | No Information |
| Usage | No Information |
Spectral Properties |
| No Information |
Buy Reagent | |
| No reagent supplier? | Send quick inquiry to ChemWhat |
| Want to be listed here as a reagent supplier? (Paid service) | Click here to contact ChemWhat |
Approved Manufacturers | |
| Want to be listed as an approved manufacturer (Requires approvement)? | Please download and fill out this form and send back to approved-manufacturers@chemwhat.com |
Other Suppliers | |
| Watson International Limited | Visit Watson Official Website |
Contact Us for Other Help | |
| Contact us for other information or services | Click here to contact ChemWhat |


