N-GUANYLUREA SULFATE HYDRATE CAS#: 207300-86-5; ChemWhat Code: 297632
Names & Identifiers |
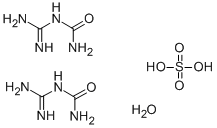
| Product Name | N-GUANYLUREA SULFATE HYDRATE |
| Synonyms | N-GUANYLUREA SULFATE HYDRATE;N-Guanylurea hydrate sulfate salt;N-Guanylurea sulfate salt hydrate 97%;N-Guanylurea sulfate salt |
| CAS Registry Number | 207300-86-5 |
| Molecular Formula | C4H16N8O7S |
| Molecular Weight | 320.28 |
| EINECS | 209-697-8 |
| Other Registry Numbers | |
| More Identifiers on PubChem | IUPA Names, InChI, InChI Key, Canonical SMILES, etc. |
![]() |
|
Chemical & Physical Properties |
| Melting point | 199 °C (dec.)(lit.) |
Safety & Hazards(Codes & Phrases) |
| Hazard Codes | Xi |
| R Phrase | 36/37/38 |
| S Phrase | 26-37/39 |
| WGK Germany | 3 |
| More Safety & Hazards From PubChem | Signal, GHS Hazard Statements, Precautionary Statement Codes, etc. |
Literature |
| Literature on PubChem | Synthesis References, Metabolite References, etc. |
Patents |
| Patents on PubChem | Related Patents Of This Product |
Transportation, Storage & Usage |
| Transportation | No Information |
| Storage | No Information |
| Usage | No Information |
Spectral Properties |
| No Information |
Buy Reagent | |
| No reagent supplier? | Send quick inquiry to ChemWhat |
| Want to be listed here as a reagent supplier? (Paid service) | Click here to contact ChemWhat |
Approved Manufacturers | |
| Want to be listed as an approved manufacturer (Requires approvement)? | Please download and fill out this form and send back to approved-manufacturers@chemwhat.com |
Other Suppliers | |
| Watson International Limited | Visit Watson Official Website |
Contact Us for Other Help | |
| Contact us for other information or services | Click here to contact ChemWhat |


