N-METHYL-4-(P-FORMYLSTYRYL)PYRIDINIUM METHYLSULFATE CAS#: 74401-04-0; ChemWhat Code: 1122862
Identification
Physical Data
| Appearance | Light yellow to yellow powder |
| Melting Point, °C |
| 226 – 228 |
| 226 – 227 |
| 225 – 226 |
Spectra
| Description (NMR Spectroscopy) | Nucleus (NMR Spectroscopy) | Solvents (NMR Spectroscopy) | Temperature (NMR Spectroscopy), °C | Frequency (NMR Spectroscopy), MHz |
| Spectrum | 1H | heavy water | 25 | 400 |
| Description (IR Spectroscopy) |
| ATR (attenuated total reflectance), Bands, Spectrum |
| Description (UV/VIS Spectroscopy) | Solvent (UV/VIS Spectroscopy) | Absorption Maxima (UV/VIS), nm |
| Spectrum | water | 340 |
Route of Synthesis (ROS)
| Conditions | Yield |
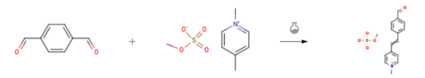
| With piperidine In methanol for 6h; Time; Reflux; Experimental Procedure 1.2 2) SBQ Synthesis Reaction flask was added 20.7 g terephthalic aldehyde, 1.0 g of piperidine, methanol, 30mL, was added dropwise at reflux temperature of the intermediate solution was added dropwise to refluxing was continued for 6h, cooled to room temperature, filtered, the cake washed with 100mL ethyl acetate wash 2 or 3 times to give 15 g crude SBQ, the filtrate can be further recycled products, crude yield 63%.3) SBQ crude product was purifiedReactor SBQ crude 15 grams, 25 grams of methanol at 80 oil bath and stirred 0.5h, filtered, and the cake was discarded impurities, to the filtrate was added 6.7 grams of water, 0.45 g of acetic acid, at 50 to the whole solution, and then at -10 crystallization, filtration, and dried to give crystals 12 grams. The resulting crystals by UV, IR, NMR detection, in line with the target structure of the product.The crystal purity greater than 99% (Figure 1 and Table 1), melting range of 226 ~ 228 , with 4-methylpyridine count, pure product yield of 63%. | 12 g |
Safety and Hazards
| Pictogram(s) | ![]() |
| Signal | Warning |
| GHS Hazard Statements | H317 (100%): May cause an allergic skin reaction [Warning Sensitization, Skin] H412 (100%): Harmful to aquatic life with long lasting effects [Hazardous to the aquatic environment, long-term hazard] |
| Precautionary Statement Codes | P261, P272, P273, P280, P302+P352, P321, P333+P317, P362+P364, and P501 (The corresponding statement to each P-code can be found at the GHS Classification page.) |
Other Data
No data available
| Druglikeness | |
| Lipinski rules component | |
| Molecular Weight | 335.381 |
| logP | 2.945 |
| HBA | 5 |
| HBD | 0 |
| Matching Lipinski Rules | 4 |
| Veber rules component | |
| Polar Surface Area (PSA) | 95.76 |
| Rotatable Bond (RotB) | 4 |
| Matching Veber Rules | 2 |
| Use Pattern |
| N-Methyl-4-(p-formylstyryl)pyridinium methylsulfate is used as a composite material in water-soluble photosensitive coatings, primarily for producing photosensitive emulsions for screen printing. It outperforms binary diazonium powders, exhibiting high stability, no dark reactions, and excellent photosensitivity and thermal stability. A negative-working photosensitive agent used for esterifying pre-sensitized lithographic plates, it can substitute diazonium intermediates with superior quality, faster exposure times, and longer shelf life. |
Buy Reagent | |
| No reagent supplier? | Send quick inquiry to ChemWhat |
| Want to be listed here as a reagent supplier? (Paid service) | Click here to contact ChemWhat |
Approved Manufacturers | |
| Warshel Chemical Ltd | http://www.warshel.com/ |
| Want to be listed as an approved manufacturer (Requires approvement)? | Please download and fill out this form and send back to approved-manufacturers@chemwhat.com |
Other Suppliers | |
| Watson International Limited | Visit Watson Official Website |
Contact Us for Other Help | |
| Contact us for other information or services | Click here to contact ChemWhat |




