NA3 GLYCAN CAS#: 82867-73-0; ChemWhat Code: 1192273
Names & Identifiers |
| Product Name | NA3 GLYCAN |
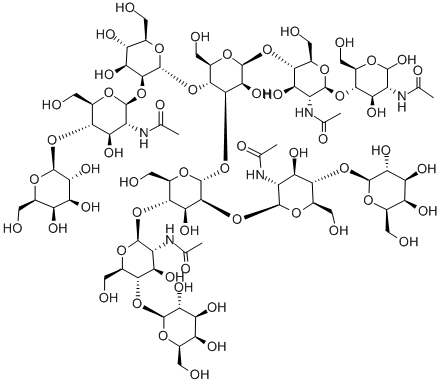
| Synonyms | MANNOTRIOSE-DI-(N-ACETYL-D-GLUCOSAMINE) TRIS(GALACTOSYL-N-ACETYL-D-GLUCOSAMINY;[Gal-GlcNAc]3-Man3-GlcNAc2, Asialo, galactosylated, triantennary N-glycan, Mannotriose-di-(N-acetyl-D-glucosamine), tris(galactosyl-N-acetyl-D-glucosaminyl);Asialo, galactosylated, triantennary glycan (NA3);Asialo, galactosylated, triantennary (NA3);[Gal-GlcNAc]3-Man3-GlcNAc2;Asialo, galactosylated, triantennary N-glycan;Mannotriose-di-(N-acetyl-D-glucosamine), tris(galactosyl-N-acetyl-D-glucosaminyl);Galbeta1-4GlcNAcbeta1-2(Galbeta1-4GlcNAcbeta1-4)Manalpha1-3(Galbeta1-4GlcNAcbeta1-2Manalpha1-6)Manbeta1-4GlcNAcbeta1-4GlcNAc |
| CAS Registry Number | 82867-73-0 |
| Molecular Formula | C76H127N5O56 |
| Molecular Weight | 2006.82 |
| EINECS | |
| Other Registry Numbers | |
| More Identifiers on PubChem | IUPA Names, InChI, InChI Key, Canonical SMILES, etc. |
![]() |
|
Chemical & Physical Properties |
| Storage | −20°C |
Safety & Hazards(Codes & Phrases) |
| WGK Germany | 3 |
| More Safety & Hazards From PubChem | Signal, GHS Hazard Statements, Precautionary Statement Codes, etc. |
Literature |
| Literature on PubChem | Synthesis References, Metabolite References, etc. |
Patents |
| Patents on PubChem | Related Patents Of This Product |
Transportation, Storage & Usage |
| Transportation | No Information |
| Storage | No Information |
| Usage | No Information |
Spectral Properties |
| No Information |
Buy Reagent | |
| No reagent supplier? | Send quick inquiry to ChemWhat |
| Want to be listed here as a reagent supplier? (Paid service) | Click here to contact ChemWhat |
Approved Manufacturers | |
| Want to be listed as an approved manufacturer (Requires approvement)? | Please download and fill out this form and send back to approved-manufacturers@chemwhat.com |
Other Suppliers | |
| Watson International Limited | Visit Watson Official Website |
Contact Us for Other Help | |
| Contact us for other information or services | Click here to contact ChemWhat |

