PAMAM DENDRIMER GENERATION& CAS#: 202009-64-1; ChemWhat Code: 264033
Names & Identifiers |
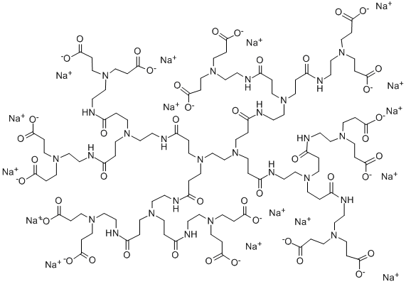
| Product Name | PAMAM DENDRIMER GENERATION& |
| Synonyms | PAMAM DENDRIMER GENERATION&;pamam dendrimer, generation 1.5 solution;PAMAM dendrimer, ethylenediamine core, generation 1.5 solution;PAMAM dendriMer, ethylenediaMine core, generation 1.5 solution 20 wt. % in Methanol |
| CAS Registry Number | 202009-64-1 |
| Molecular Formula | C110H176N26O44.16Na |
| Molecular Weight | 2934.58 |
| EINECS | |
| Other Registry Numbers | |
| More Identifiers on PubChem | IUPA Names, InChI, InChI Key, Canonical SMILES, etc. |
![]() |
|
Chemical & Physical Properties |
| Boiling Point | 65 °C |
| Density | 0.86 g/mL at 25 °C |
| Refractive Index | n |
| Flash Point | 52 °F |
| Storage | 2-8°C |
| form | 20 wt.% in methanol |
Safety & Hazards(Codes & Phrases) |
| Hazard Codes | T,F |
| R Phrase | 23/24/25-39/23/24/25-11 |
| S Phrase | 36/37-45-16 |
| RIDADR | UN 1230 3/PG 2 |
| WGK Germany | 1 |
| More Safety & Hazards From PubChem | Signal, GHS Hazard Statements, Precautionary Statement Codes, etc. |
Literature |
| Literature on PubChem | Synthesis References, Metabolite References, etc. |
Patents |
| Patents on PubChem | Related Patents Of This Product |
Transportation, Storage & Usage |
| Transportation | No Information |
| Storage | No Information |
| Usage | No Information |
Spectral Properties |
| No Information |
Buy Reagent | |
| No reagent supplier? | Send quick inquiry to ChemWhat |
| Want to be listed here as a reagent supplier? (Paid service) | Click here to contact ChemWhat |
Approved Manufacturers | |
| Want to be listed as an approved manufacturer (Requires approvement)? | Please download and fill out this form and send back to approved-manufacturers@chemwhat.com |
Other Suppliers | |
| Watson International Limited | Visit Watson Official Website |
Contact Us for Other Help | |
| Contact us for other information or services | Click here to contact ChemWhat |


