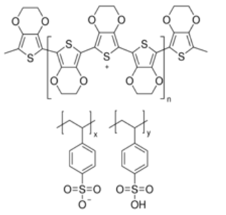
Poly(3,4-ethylenedioxythiophene)-poly(styrenesulfonate) CAS#: 155090-83-8; ChemWhat Code: 16881
Identification
Physical Data
| Appearance | Dark blue liquid |
Spectra
No data available
Route of Synthesis (ROS)
No data available
Safety and Hazards
| Pictogram(s) | ![]() |
| Signal | Danger |
| GHS Hazard Statements | H314 (83.12%): Causes severe skin burns and eye damage [Danger Skin corrosion/irritation] H318 (73.38%): Causes serious eye damage [Danger Serious eye damage/eye irritation] |
| Precautionary Statement Codes | P260, P264, P264+P265, P280, P301+P330+P331, P302+P361+P354, P304+P340, P305+P354+P338, P316, P317, P321, P363, P405, and P501 (The corresponding statement to each P-code can be found at the GHS Classification page.) |
Other Data
| HS Code | |
| Storage | Store at room temperature, in container tightly sealed; Protect from light. |
| Market Price |
| Use Pattern |
| Poly(3,4-ethylenedioxythiophene)-poly(styrenesulfonate) CAS#: 155090-83-8 often used as a high-volt solid capacitor. |
Buy Reagent | |
| No reagent supplier? | Send quick inquiry to ChemWhat |
| Want to be listed here as a reagent supplier? (Paid service) | Click here to contact ChemWhat |
Approved Manufacturers | |
| Watson Bio Ltd | https://www.watson-bio.com/ |
| Want to be listed as an approved manufacturer (Requires approvement)? | Please download and fill out this form and send back to approved-manufacturers@chemwhat.com |
Other Suppliers | |
| Watson International Limited | Visit Watson Official Website |
Contact Us for Other Help | |
| Contact us for other information or services | Click here to contact ChemWhat |


