PROSTAGLANDIN J2 CAS#: 60203-57-8; ChemWhat Code: 927745
Names & Identifiers |
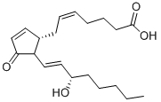
| Product Name | PROSTAGLANDIN J2 |
| Synonyms | 11-OXO-15S-HYDROXY-PROSTA-5Z,9,13E-TRIEN-1-OIC ACID;(5Z,13E,15S)-15-HYDROXY-11-OXOPROSTA-5,9,13-TRIEN-1-OIC ACID;PROSTAGLANDIN J2;PGJ2;9-deoxy-delta-9-prostaglandind2;PROSTAGLANDIN J2, 5MG/ML IN METHYL ACETA;(Z)-7-[(1S,5R)-5-[(E,3S)-3-hydroxyoct-1-enyl]-4-oxo-1-cyclopent-2-enyl]hept-5-enoic acid;(5Z,13E,15S)-15-Hydroxy-11-oxoprosta-5,9,13-triene-1-oic acid |
| CAS Registry Number | 60203-57-8 |
| Molecular Formula | C20H30O4 |
| Molecular Weight | 334.45 |
| EINECS | 201-185-2 |
| Other Registry Numbers | |
| IUPA Names, InChI, InChI Key, Canonical SMILES, etc.: | IUPA Names, InChI, InChI Key, Canonical SMILES, etc. |
![]() |
|
Chemical & Physical Properties |
| Storage | −20°C |
Safety & Hazards(Codes & Phrases) |
| Hazard Codes | Xn,Xi,F |
| R Phrase | 20/21/22-36/37/38-67-66-36-11 |
| S Phrase | 26-36-33-29-16 |
| More Safety & Hazards From PubChem | Signal, GHS Hazard Statements, Precautionary Statement Codes, etc. |
Literature |
| Literature on PubChem | Synthesis References, Metabolite References, etc. |
Patents |
| Patents on PubChem | Related Patents Of This Product |
Transportation, Storage & Usage |
| Transportation | No Information |
| Storage | No Information |
| Usage | No Information |
Spectral Properties |
| No Information |
Buy Reagent | |
| No reagent supplier? | Send quick inquiry to ChemWhat |
| Want to be listed here as a reagent supplier? (Paid service) | Click here to contact ChemWhat |
Approved Manufacturers | |
| Want to be listed as an approved manufacturer (Requires approvement)? | Please download and fill out this form and send back to approved-manufacturers@chemwhat.com |
Other Suppliers | |
| Watson International Limited | Visit Watson Official Website |
Contact Us for Other Help | |
| Contact us for other information or services | Click here to contact ChemWhat |


