PYRIDOXINE 3,4-DIPALMITATE CAS#: 992-42-7; ChemWhat Code: 1293158
Names & Identifiers |
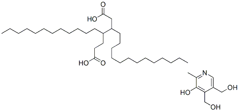
| Product Name | PYRIDOXINE 3,4-DIPALMITATE |
| Synonyms | PYRIDOXINE 3,4-DIPALMITATE;5-(Hydroxymethyl)-2-methyl-4-[[(1-oxohexadecyl)oxy]methyl]-3-pyridinylhexadecanoate;Pyridoxine 4,5-dipalmitate;Pyridoxol 4,5-dipalmitate;{3-Hydroxy-2-methyl-5-[(palmitoyloxy)methyl]-4-pyridinyl}methyl palmitate |
| CAS Registry Number | 992-42-7 |
| Molecular Formula | C40H71NO5 |
| Molecular Weight | 646 |
| EINECS | |
| Other Registry Numbers | |
| IUPA Names, InChI, InChI Key, Canonical SMILES, etc.: | IUPA Names, InChI, InChI Key, Canonical SMILES, etc. |
![]() |
|
Chemical & Physical Properties |
| Melting point | 88.0 to 92.0 °C |
Safety & Hazards(Codes & Phrases) |
| More Safety & Hazards From PubChem | Signal, GHS Hazard Statements, Precautionary Statement Codes, etc. |
Literature |
| Literature on PubChem | Synthesis References, Metabolite References, etc. |
Patents |
| Patents on PubChem | Related Patents Of This Product |
Transportation, Storage & Usage |
| Transportation | No Information |
| Storage | No Information |
| Usage | No Information |
Spectral Properties |
| No Information |
Buy Reagent | |
| No reagent supplier? | Send quick inquiry to ChemWhat |
| Want to be listed here as a reagent supplier? (Paid service) | Click here to contact ChemWhat |
Approved Manufacturers | |
| Want to be listed as an approved manufacturer (Requires approvement)? | Please download and fill out this form and send back to approved-manufacturers@chemwhat.com |
Other Suppliers | |
| Watson International Limited | Visit Watson Official Website |
Contact Us for Other Help | |
| Contact us for other information or services | Click here to contact ChemWhat |


