Quininie Sulfate Impurity-A CAS#: 6119-70-6123; ChemWhat Code: 1416606
Identification
| Product Name | Quininie Sulfate Impurity-A |
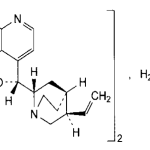
| Molecular Structure | ![]() |
| CAS Registry Number | 6119-70-6123 |
| EINECS Number | |
| MDL Number | |
| Beilstein Registry Number | |
| Synonyms | (S)-[(2R,4S,5R)-5-ethenyl-1-azabicyclo [2.2.2]oct-2-yl](6-methoxyquinolin-4-yl) methanol |
| Molecular Formula | |
| Molecular Weight | |
| InChI | |
| InChI Key | |
| Canonical SMILES |
Physical Data
| Appearance | |
| Solubility | |
| Flash Point | No data available |
| Refractive index | No data available |
| Sensitivity | No data available |
| Melting Point | No data available |
Spectra
| No data available |
Route of Synthesis (ROS)
| No data available |
Safety and Hazards
| No data available |
Other Data
| Use Pattern |
| Quininie Sulfate Impurity-A is an impurity of API Quinine Sulfate. |
Related Chemicals
Buy Reagent | |
| No reagent supplier? | Send quick inquiry to ChemWhat |
| Want to be listed here as a reagent supplier? (Paid service) | Click here to contact ChemWhat |
Approved Manufacturers | |
| Want to be listed as an approved manufacturer (Requires approvement)? | Please download and fill out this form and send back to approved-manufacturers@chemwhat.com |
Other Suppliers | |
| Watson International Limited | Visit Watson Official Website |
Contact Us for Other Help | |
| Contact us for other information or services | Click here to contact ChemWhat |


