saframycin F CAS#: 92569-03-4; ChemWhat Code: 1303551
Names & Identifiers |
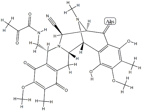
| Product Name | saframycin F |
| Synonyms | saframycin F;N-[[(6R)-7α-Cyano-6,7,9,10,13,14,14aα,15-octahydro-1,4-dihydroxy-2,11-dimethoxy-3,12,16-trimethyl-5,10,13-trioxo-6α,15α-epimino-5H-isoquino[3,2-b][3]benzazocin-9β-yl]methyl]-2-oxopropionamide |
| CAS Registry Number | 92569-03-4 |
| Molecular Formula | C29H30N4O9 |
| Molecular Weight | 578.5699 |
| EINECS | |
| Other Registry Numbers | |
| IUPA Names, InChI, InChI Key, Canonical SMILES, etc.: | 92569-03-4.mol |
![]() |
|
Chemical & Physical Properties |
Safety & Hazards(Codes & Phrases) |
| More Safety & Hazards From PubChem | Signal, GHS Hazard Statements, Precautionary Statement Codes, etc. |
Literature |
| Literature on PubChem | Synthesis References, Metabolite References, etc. |
Patents |
| Patents on PubChem | Related Patents Of This Product |
Transportation, Storage & Usage |
| Transportation | No Information |
| Storage | No Information |
| Usage | No Information |
Spectral Properties |
| No Information |
Buy Reagent | |
| No reagent supplier? | Send quick inquiry to ChemWhat |
| Want to be listed here as a reagent supplier? (Paid service) | Click here to contact ChemWhat |
Approved Manufacturers | |
| Want to be listed as an approved manufacturer (Requires approvement)? | Please download and fill out this form and send back to approved-manufacturers@chemwhat.com |
Other Suppliers | |
| Watson International Limited | Visit Watson Official Website |
Contact Us for Other Help | |
| Contact us for other information or services | Click here to contact ChemWhat |


