suxethonium chloride CAS#: 54063-57-9; ChemWhat Code: 853656
Names & Identifiers |
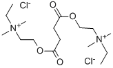
| Product Name | suxethonium chloride |
| Synonyms | suxethonium chloride;Suxethonium;Chlorure de suxethonium;Chlorure de suxethonium [inn-french];Cloruro de suxetonio;Cloruro de suxetonio [inn-spanish];Einecs 258-958-2;Ethanaminium, 2,2′-((1,4-dioxo-1,4-butanediyl)bis(oxy))bis(N-ethyl-N,N-dimethyl-, dichloride |
| CAS Registry Number | 54063-57-9 |
| Molecular Formula | C16H34Cl2N2O4 |
| Molecular Weight | 389.35816 |
| EINECS | 258-958-2 |
| Other Registry Numbers | |
| IUPA Names, InChI, InChI Key, Canonical SMILES, etc.: | IUPA Names, InChI, InChI Key, Canonical SMILES, etc. |
![]() |
|
Chemical & Physical Properties |
Safety & Hazards(Codes & Phrases) |
| More Safety & Hazards From PubChem | Signal, GHS Hazard Statements, Precautionary Statement Codes, etc. |
Literature |
| Literature on PubChem | Synthesis References, Metabolite References, etc. |
Patents |
| Patents on PubChem | Related Patents Of This Product |
Transportation, Storage & Usage |
| Transportation | No Information |
| Storage | No Information |
| Usage | No Information |
Spectral Properties |
| No Information |
Buy Reagent | |
| No reagent supplier? | Send quick inquiry to ChemWhat |
| Want to be listed here as a reagent supplier? (Paid service) | Click here to contact ChemWhat |
Approved Manufacturers | |
| Want to be listed as an approved manufacturer (Requires approvement)? | Please download and fill out this form and send back to approved-manufacturers@chemwhat.com |
Other Suppliers | |
| Watson International Limited | Visit Watson Official Website |
Contact Us for Other Help | |
| Contact us for other information or services | Click here to contact ChemWhat |


