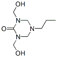
tetrahydro-1,3-bis(hydroxymethyl)-5-propyl-1,3,5-triazin-2(1H)-one CAS#: 90228-18-5; ChemWhat Code: 1295130
| tetrahydro-1,3-bis(hydroxymethyl)-5-propyl-1,3,5-triazin-2(1H)-one Basic information |
| Product Name | tetrahydro-1,3-bis(hydroxymethyl)-5-propyl-1,3,5-triazin-2(1H)-one |
| Synonyms | tetrahydro-1,3-bis(hydroxymethyl)-5-propyl-1,3,5-triazin-2(1H)-one |
| CAS Registry Number | 90228-18-5 |
| Molecular Formula | C8H17N3O3 |
| Molecular Weight | 203.23888 |
| EINECS | 290-785-8 |
| Other Registry Numbers | |
| IUPA Names, InChI, InChI Key, Canonical SMILES, etc.: | IUPA Names, InChI, InChI Key, Canonical SMILES, etc. |
![]() |
|
| tetrahydro-1,3-bis(hydroxymethyl)-5-propyl-1,3,5-triazin-2(1H)-one Chemical Properties |
Safety & Hazards(Codes & Phrases) |
| More Safety & Hazards From PubChem | Signal, GHS Hazard Statements, Precautionary Statement Codes, etc. |
Literature |
| Literature on PubChem | Synthesis References, Metabolite References, etc. |
Patents |
| Patents on PubChem | Related Patents Of This Product |
Transportation, Storage & Usage |
| Transportation | No Information |
| Storage | No Information |
| Usage | No Information |
Spectral Properties |
| No Information |
Buy Reagent | |
| No reagent supplier? | Send quick inquiry to ChemWhat |
| Want to be listed here as a reagent supplier? (Paid service) | Click here to contact ChemWhat |
Approved Manufacturers | |
| Want to be listed as an approved manufacturer (Requires approvement)? | Please download and fill out this form and send back to approved-manufacturers@chemwhat.com |
Other Suppliers | |
| Watson International Limited | Visit Watson Official Website |
Contact Us for Other Help | |
| Contact us for other information or services | Click here to contact ChemWhat |


