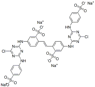
tetrasodium 4,4′-bis[[4-chloro-6-[(4-sulphonatophenyl)amino]-1,3,5-triazin-2-yl]amino]stilbene-2,2′-disulphonate CAS#: 37138-26-4; ChemWhat Code: 379133
| tetrasodium 4,4′-bis[[4-chloro-6-[(4-sulphonatophenyl)amino]-1,3,5-triazin-2-yl]amino]stilbene-2,2′-disulphonate Basic information |
| Product Name | tetrasodium 4,4′-bis[[4-chloro-6-[(4-sulphonatophenyl)amino]-1,3,5-triazin-2-yl]amino]stilbene-2,2′-disulphonate |
| Synonyms | tetrasodium 4,4′-bis[[4-chloro-6-[(4-sulphonatophenyl)amino]-1,3,5-triazin-2-yl]amino]stilbene-2,2′-disulphonate;4,4′-bis [[4-(4-Sulfoanilino)-6-chloro-1,3,5-triazin-2-yl] amino]stilbene-2,2′-disulfonic acid, tetrasodium salt;Benzenesulfonic acid, 2,2′-(1,2-ethenediyl) bis[5-[[4-chloro-6-[(4-sulfophenyl) amino]-1,3,5-triazin-2-yl]amino]-, tetrasodium salt |
| CAS Registry Number | 37138-26-4 |
| Molecular Formula | C32H20Cl2N10Na4O12S4 |
| Molecular Weight | 1027.68608 |
| EINECS | 253-360-8 |
| Other Registry Numbers | |
| More Identifiers on PubChem | IUPA Names, InChI, InChI Key, Canonical SMILES, etc. |
![]() |
|
| tetrasodium 4,4′-bis[[4-chloro-6-[(4-sulphonatophenyl)amino]-1,3,5-triazin-2-yl]amino]stilbene-2,2′-disulphonate Chemical Properties |
Safety & Hazards(Codes & Phrases) |
| More Safety & Hazards From PubChem | Signal, GHS Hazard Statements, Precautionary Statement Codes, etc. |
Literature |
| Literature on PubChem | Synthesis References, Metabolite References, etc. |
Patents |
| Patents on PubChem | Related Patents Of This Product |
Transportation, Storage & Usage |
| Transportation | No Information |
| Storage | No Information |
| Usage | No Information |
Spectral Properties |
| No Information |
Buy Reagent | |
| No reagent supplier? | Send quick inquiry to ChemWhat |
| Want to be listed here as a reagent supplier? (Paid service) | Click here to contact ChemWhat |
Approved Manufacturers | |
| Want to be listed as an approved manufacturer (Requires approvement)? | Please download and fill out this form and send back to approved-manufacturers@chemwhat.com |
Other Suppliers | |
| Watson International Limited | Visit Watson Official Website |
Contact Us for Other Help | |
| Contact us for other information or services | Click here to contact ChemWhat |

![tetrasodium 4,4'-bis[[4-chloro-6-[(4-sulphonatophenyl)amino]-1,3,5-triazin-2-yl]amino]stilbene-2,2'-disulphonate CAS#: 37138-26-4](/wp-content/uploads/2018/01/tetrasodium-44-bis4-chloro-6-4-sulphonatophenylamino-135-triazin-2-ylaminostilbene-22-disulphonate-CAS-37138-26-4.gif)