tetrasodium N-[4-[[4-[[4-[[1-amino-8-hydroxy-3,6-disulphonato-7-[(4-sulphonatophenyl)azo]-2-naphthyl]azo]benzoyl]amino]phenyl]azo]-3-hydroxyphenyl]glycinate CAS#: 85750-09-0; ChemWhat Code: 1209016
| tetrasodium N-[4-[[4-[[4-[[1-amino-8-hydroxy-3,6-disulphonato-7-[(4-sulphonatophenyl)azo]-2-naphthyl]azo]benzoyl]amino]phenyl]azo]-3-hydroxyphenyl]glycinate Basic information |
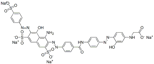
| Product Name | tetrasodium N-[4-[[4-[[4-[[1-amino-8-hydroxy-3,6-disulphonato-7-[(4-sulphonatophenyl)azo]-2-naphthyl]azo]benzoyl]amino]phenyl]azo]-3-hydroxyphenyl]glycinate |
| Synonyms | tetrasodium N-[4-[[4-[[4-[[1-amino-8-hydroxy-3,6-disulphonato-7-[(4-sulphonatophenyl)azo]-2-naphthyl]azo]benzoyl]amino]phenyl]azo]-3-hydroxyphenyl]glycinate;Glycine, N-4-4-4-1-amino-8-hydroxy-3,6-disulfo-7-(4-sulfophenyl)azo-2-naphthalenylazobenzoylaminophenylazo-3-hydroxyphenyl-, tetrasodium salt;N-[4-[[4-[[4-[[1-Amino-8-hydroxy-3,6-bis[(sodiooxy)sulfonyl]-7-[[4-[(sodiooxy)sulfonyl]phenyl]azo]-2-naphthalenyl]azo]benzoyl]amino]phenyl]azo]-3-hydroxyphenyl]glycine sodium salt;Einecs 288-534-2;Tetrasodium N-(4-((4-((4-((1-amino-8-hydroxy-3,6-disulphonato-7-((4-sulphonatophenyl)azo)-2-naphthyl)azo)benzoyl)amino)phenyl)azo)-3-hydroxyphenyl)glycinate;GVHPSIAHFWKDDH-CUGFLNMWSA-K |
| CAS Registry Number | 85750-09-0 |
| Molecular Formula | C37H25N9Na4O14S3 |
| Molecular Weight | 1007.80038 |
| EINECS | 288-534-2 |
| Other Registry Numbers | |
| More Identifiers on PubChem | IUPA Names, InChI, InChI Key, Canonical SMILES, etc. |
![]() |
|
| tetrasodium N-[4-[[4-[[4-[[1-amino-8-hydroxy-3,6-disulphonato-7-[(4-sulphonatophenyl)azo]-2-naphthyl]azo]benzoyl]amino]phenyl]azo]-3-hydroxyphenyl]glycinate Chemical Properties |
Safety & Hazards(Codes & Phrases) |
| More Safety & Hazards From PubChem | Signal, GHS Hazard Statements, Precautionary Statement Codes, etc. |
Literature |
| Literature on PubChem | Synthesis References, Metabolite References, etc. |
Patents |
| Patents on PubChem | Related Patents Of This Product |
Transportation, Storage & Usage |
| Transportation | No Information |
| Storage | No Information |
| Usage | No Information |
Spectral Properties |
| No Information |
Buy Reagent | |
| No reagent supplier? | Send quick inquiry to ChemWhat |
| Want to be listed here as a reagent supplier? (Paid service) | Click here to contact ChemWhat |
Approved Manufacturers | |
| Want to be listed as an approved manufacturer (Requires approvement)? | Please download and fill out this form and send back to approved-manufacturers@chemwhat.com |
Other Suppliers | |
| Watson International Limited | Visit Watson Official Website |
Contact Us for Other Help | |
| Contact us for other information or services | Click here to contact ChemWhat |

![tetrasodium N-[4-[[4-[[4-[[1-amino-8-hydroxy-3,6-disulphonato-7-[(4-sulphonatophenyl)azo]-2-naphthyl]azo]benzoyl]amino]phenyl]azo]-3-hydroxyphenyl]glycinate CAS#: 85750-09-0](/wp-content/uploads/2018/09/tetrasodium-N-4-4-4-1-amino-8-hydroxy-36-disulphonato-7-4-sulphonatophenylazo-2-naphthylazobenzoylaminophenylazo-3-hydroxyphenylglycinate-CAS-85750-09-0.gif)