TRIS(ETHYLTHIO)METHANE CAS#: 6267-24-9; ChemWhat Code: 900971
Names & Identifiers |
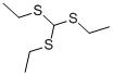
| Product Name | TRIS(ETHYLTHIO)METHANE |
| Synonyms | TRIS(ETHYLTHIO)METHANE;1,1’,1’’-[methylidynetris(thio)]tris-ethan;Ethyl orthothioformate~Triethyl trithioorthoformate;triethyl trithioorthoformate;ethyl orthothioformate;1,1′,1”-[Methylidynetris(thio)]trisethane;Ai3-11083;Einecs 228-439-5 |
| CAS Registry Number | 6267-24-9 |
| Molecular Formula | C7H16S3 |
| Molecular Weight | 196.4 |
| EINECS | 228-439-5 |
| Other Registry Numbers | |
| IUPA Names, InChI, InChI Key, Canonical SMILES, etc.: | IUPA Names, InChI, InChI Key, Canonical SMILES, etc. |
![]() |
|
Chemical & Physical Properties |
| Boiling Point | 91-92°C 0,5mm |
| Density | 1.049 |
| Refractive Index | 1.5420 |
| Flash Point | 91-92°C/0.5mm |
| BRN | 1737016 |
Safety & Hazards(Codes & Phrases) |
| S Phrase | 23-24/25 |
| TSCA | Yes |
| More Safety & Hazards From PubChem | Signal, GHS Hazard Statements, Precautionary Statement Codes, etc. |
Literature |
| Literature on PubChem | Synthesis References, Metabolite References, etc. |
Patents |
| Patents on PubChem | Related Patents Of This Product |
Transportation, Storage & Usage |
| Transportation | No Information |
| Storage | No Information |
| Usage | No Information |
Spectral Properties |
| No Information |
Buy Reagent | |
| No reagent supplier? | Send quick inquiry to ChemWhat |
| Want to be listed here as a reagent supplier? (Paid service) | Click here to contact ChemWhat |
Approved Manufacturers | |
| Want to be listed as an approved manufacturer (Requires approvement)? | Please download and fill out this form and send back to approved-manufacturers@chemwhat.com |
Other Suppliers | |
| Watson International Limited | Visit Watson Official Website |
Contact Us for Other Help | |
| Contact us for other information or services | Click here to contact ChemWhat |


