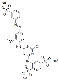
trisodium 2-[[4-chloro-6-[[2-methoxy-4-[(3-sulphonatophenyl)azo]phenyl]amino]-1,3,5-triazin-2-yl]amino]benzene-1,4-disulphonate CAS#: 72927-91-4; ChemWhat Code: 1114137
| trisodium 2-[[4-chloro-6-[[2-methoxy-4-[(3-sulphonatophenyl)azo]phenyl]amino]-1,3,5-triazin-2-yl]amino]benzene-1,4-disulphonate Basic information |
| Product Name | trisodium 2-[[4-chloro-6-[[2-methoxy-4-[(3-sulphonatophenyl)azo]phenyl]amino]-1,3,5-triazin-2-yl]amino]benzene-1,4-disulphonate |
| Synonyms | trisodium 2-[[4-chloro-6-[[2-methoxy-4-[(3-sulphonatophenyl)azo]phenyl]amino]-1,3,5-triazin-2-yl]amino]benzene-1,4-disulphonate;2-[4-Chloro-6-[2-methoxy-4-(3-sulfophenylazo)anilino]-1,3,5-triazin-2-ylamino]-1,4-benzenedisulfonic acid trisodium salt;2-[4-Chloro-6-[2-methoxy-4-(m-sodiosulfophenylazo)anilino]-1,3,5-triazin-2-ylamino]-1,4-benzenedisulfonic acid disodium salt |
| CAS Registry Number | 72927-91-4 |
| Molecular Formula | C22H15ClN7Na3O10S3 |
| Molecular Weight | 738.01271 |
| EINECS | 277-032-9 |
| Other Registry Numbers | |
| More Identifiers on PubChem | IUPA Names, InChI, InChI Key, Canonical SMILES, etc. |
![]() |
|
| trisodium 2-[[4-chloro-6-[[2-methoxy-4-[(3-sulphonatophenyl)azo]phenyl]amino]-1,3,5-triazin-2-yl]amino]benzene-1,4-disulphonate Chemical Properties |
Safety & Hazards(Codes & Phrases) |
| More Safety & Hazards From PubChem | Signal, GHS Hazard Statements, Precautionary Statement Codes, etc. |
Literature |
| Literature on PubChem | Synthesis References, Metabolite References, etc. |
Patents |
| Patents on PubChem | Related Patents Of This Product |
Transportation, Storage & Usage |
| Transportation | No Information |
| Storage | No Information |
| Usage | No Information |
Spectral Properties |
| No Information |
Buy Reagent | |
| No reagent supplier? | Send quick inquiry to ChemWhat |
| Want to be listed here as a reagent supplier? (Paid service) | Click here to contact ChemWhat |
Approved Manufacturers | |
| Want to be listed as an approved manufacturer (Requires approvement)? | Please download and fill out this form and send back to approved-manufacturers@chemwhat.com |
Other Suppliers | |
| Watson International Limited | Visit Watson Official Website |
Contact Us for Other Help | |
| Contact us for other information or services | Click here to contact ChemWhat |


![trisodium 2-[[4-chloro-6-[[2-methoxy-4-[(3-sulphonatophenyl)azo]phenyl]amino]-1,3,5-triazin-2-yl]amino]benzene-1,4-disulphonate CAS#: 72927-91-4](/wp-content/uploads/2018/08/trisodium-2-4-chloro-6-2-methoxy-4-3-sulphonatophenylazophenylamino-135-triazin-2-ylaminobenzene-14-disulphonate-CAS-72927-91-4.gif)