UDP-ALPHA-D-N-ACETYLGLUCOSAMINE, DISODIUM SALT CAS#: 91183-98-1; ChemWhat Code: 1302269
Names & Identifiers |
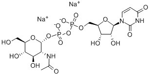
| Product Name | UDP-ALPHA-D-N-ACETYLGLUCOSAMINE, DISODIUM SALT |
| Synonyms | UDPAG;UDPAG SODIUM SALT;UDP-ALPHA-D-ACETYLGLUCOSAMINE, DISODIUM SALT;UDP-ALPHA-D-N-ACETYL-GLUCOSAMINE;UDP-ALPHA-D-N-ACETYLGLUCOSAMINE, DISODIUM SALT;UDP-GLCNAC, 2NA;UDP-GLCNAC, NA2;UDP-N-ACETYLGLUCOSAMINE DISODIUM SALT |
| CAS Registry Number | 91183-98-1 |
| Molecular Formula | C17H25N3Na2O17P2 |
| Molecular Weight | 651.32 |
| EINECS | 293-820-5 |
| Other Registry Numbers | |
| IUPA Names, InChI, InChI Key, Canonical SMILES, etc.: | IUPA Names, InChI, InChI Key, Canonical SMILES, etc. |
![]() |
|
Chemical & Physical Properties |
| Storage | −20°C |
Safety & Hazards(Codes & Phrases) |
| Hazard Codes | Xi |
| R Phrase | 36/37/38 |
| S Phrase | 22-26-36 |
| WGK Germany | 3 |
| HS Code | 29349990 |
| More Safety & Hazards From PubChem | Signal, GHS Hazard Statements, Precautionary Statement Codes, etc. |
Literature |
| Literature on PubChem | Synthesis References, Metabolite References, etc. |
Patents |
| Patents on PubChem | Related Patents Of This Product |
Transportation, Storage & Usage |
| Transportation | No Information |
| Storage | No Information |
| Usage | No Information |
Spectral Properties |
| No Information |
Buy Reagent | |
| No reagent supplier? | Send quick inquiry to ChemWhat |
| Want to be listed here as a reagent supplier? (Paid service) | Click here to contact ChemWhat |
Approved Manufacturers | |
| Want to be listed as an approved manufacturer (Requires approvement)? | Please download and fill out this form and send back to approved-manufacturers@chemwhat.com |
Other Suppliers | |
| Watson International Limited | Visit Watson Official Website |
Contact Us for Other Help | |
| Contact us for other information or services | Click here to contact ChemWhat |

