Ulgut CAS#: 91574-91-3; ChemWhat Code: 1305137
Names & Identifiers |
| Product Name | Ulgut |
| Synonyms | 2,4,7,9,12,14,17,19,22,24,27,29,32,34-Tetradecaoxaoctacyclo[31.2.2.23,6.28,11.213,16.218,21.223,26.228,31]nonatetracontane, β-cyclodextrin deriv.;benexate hydrochloride betadex;Benzoic acid, 2-[[[4-[[(aminoiminomethyl)amino]methyl]cyclohexyl]carbonyl]oxy]-, phenylmethyl ester, monohydrochloride, trans-, compd. with β-cyclodextrin (1:1);Benzoic acid, 2-[[[trans-4-[[(aminoiminomethyl)amino]methyl]cyclohexyl]carbonyl]oxy]-, phenylmethyl ester, monohydrochloride, compd. with β-cyclodextrin (1:1) (9CI);TA 903;Ulgut;β-Cyclodextrin, compd. with phenylmethyl 2-[[[trans-4-[[(aminoiminomethyl)amino]methyl]cyclohexyl]carbonyl]oxy]benzoate monohydrochloride (1:1);β-Cyclodextrin, compd. with trans-phenylmethyl 2-[[[4-[[(aminoiminomethyl)amino]methyl]cyclohexyl]carbonyl]oxy]benzoate monohydrochloride (1:1) |
| CAS Registry Number | 91574-91-3 |
| Molecular Formula | C65H98ClN3O39 |
| Molecular Weight | 1580.92332 |
| EINECS | |
| Other Registry Numbers | |
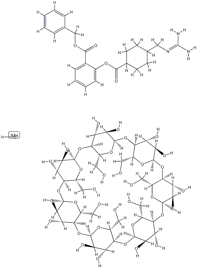
| IUPA Names, InChI, InChI Key, Canonical SMILES, etc.: | 91574-91-3.mol |
![]() |
|
Chemical & Physical Properties |
Safety & Hazards(Codes & Phrases) |
| More Safety & Hazards From PubChem | Signal, GHS Hazard Statements, Precautionary Statement Codes, etc. |
Literature |
| Literature on PubChem | Synthesis References, Metabolite References, etc. |
Patents |
| Patents on PubChem | Related Patents Of This Product |
Transportation, Storage & Usage |
| Transportation | No Information |
| Storage | No Information |
| Usage | No Information |
Spectral Properties |
| No Information |
Buy Reagent | |
| No reagent supplier? | Send quick inquiry to ChemWhat |
| Want to be listed here as a reagent supplier? (Paid service) | Click here to contact ChemWhat |
Approved Manufacturers | |
| Want to be listed as an approved manufacturer (Requires approvement)? | Please download and fill out this form and send back to approved-manufacturers@chemwhat.com |
Other Suppliers | |
| Watson International Limited | Visit Watson Official Website |
Contact Us for Other Help | |
| Contact us for other information or services | Click here to contact ChemWhat |


