XYLOTRIOSE CAS#: 47592-59-6; ChemWhat Code: 737775
Names & Identifiers |
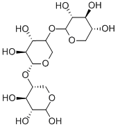
| Product Name | XYLOTRIOSE |
| Synonyms | XYLOTRIOSE;D-Xylose, O-.beta.-D-xylopyranosyl-(1?4)-O-.beta.-D-xylopyranosyl-(1?4)-;4-O-[4-O-(β-D-Xylopyranosyl)-β-D-xylopyranosyl]-D-xylose;1,4-b-D-Xylotriose;O-beta-D-Xylopyranosyl-(1-4)-O-beta-D-xylopyranosyl-(1-4)-D-xylose |
| CAS Registry Number | 47592-59-6 |
| Molecular Formula | C15H26O13 |
| Molecular Weight | 414.36 |
| EINECS | |
| Other Registry Numbers | |
| IUPA Names, InChI, InChI Key, Canonical SMILES, etc.: | IUPA Names, InChI, InChI Key, Canonical SMILES, etc. |
![]() |
|
Chemical & Physical Properties |
| Melting point | 204-206°C |
| alpha | -38.2 º (c=0.5% in H2O);-48 º (c=1% in H2O) |
Safety & Hazards(Codes & Phrases) |
| S Phrase | 24/25 |
| More Safety & Hazards From PubChem | Signal, GHS Hazard Statements, Precautionary Statement Codes, etc. |
Literature |
| Literature on PubChem | Synthesis References, Metabolite References, etc. |
Patents |
| Patents on PubChem | Related Patents Of This Product |
Transportation, Storage & Usage |
| Transportation | No Information |
| Storage | No Information |
| Usage | No Information |
Spectral Properties |
| No Information |
Buy Reagent | |
| No reagent supplier? | Send quick inquiry to ChemWhat |
| Want to be listed here as a reagent supplier? (Paid service) | Click here to contact ChemWhat |
Approved Manufacturers | |
| Want to be listed as an approved manufacturer (Requires approvement)? | Please download and fill out this form and send back to approved-manufacturers@chemwhat.com |
Other Suppliers | |
| Watson International Limited | Visit Watson Official Website |
Contact Us for Other Help | |
| Contact us for other information or services | Click here to contact ChemWhat |


