| ChemWhat Code |
Molecular Structure |
Product Information |
| 1346857 |
 |
5-BROMO-2-CYANONICOTINIC ACID CAS#: 914637-97-1 |
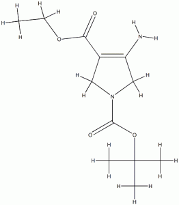
| 1365448 |
 |
1-tert-butyl 3-ethyl 4-amino-1H-pyrrole-1,3(2H,5H)-dicarboxylate CAS#: 951626-01-0 |
| 1362139 |
 |
5-Chloroimidazol[1,2-a]pyrimidine CAS#: 944896-82-6 |
| 1359933 |
 |
3-(4,4,5,5-Tetramethyl-1,3,2-dioxaborolan-2-yl)thiophene-2-carbonitrile CAS#: 942070-34-0 |
| 1343333 |
 |
(6-AMINO-1H-INDAZOL-3-YL)METHANOL CAS#: 908247-68-7 |
| 1348241 |
 |
trans-4-Cyclopropylamino-1,1-dioxo-tetrahydrothiophen-3-ol hydrochloride CAS#: 916901-09-2 |
| 1337364 |
 |
5-pregnen-3,20-diol glucoside CAS#: 99207-79-1 |
| 1341620 |
 |
N-METHYL-2-(PIPERIDIN-4-YLOXY)-BENZAMIDE CAS#: 902837-01-8 |
| 1344744 |
 |
3-FLUORO-4-(TRIFLUOROMETHOXY)PHENYLACETYLEN CAS#: 912617-68-6 |
| 1356974 |
 |
(1R*,2R*,5R*)-2-BENZYLOXYCARBONYLAMINO-5-(TOLUENE-4-SULFONYLOXY)-CYCLOHEXANECARBOXYLIC ACID ETHYL ESTER CAS#: 935470-10-3 |