| ChemWhat Code |
Molecular Structure |
Product Information |
| 1365446 |
 |
3-Morpholinone, 6-(2,3-dihydro-1,4-benzodioxin-6-yl)- CAS#: 951626-32-7 |
| 1359931 |
 |
4,4,5,5-TetraMethyl-2-(5-triMethylsilanyl-thiophen-2-yl)-[1,3,2]dioxaborolane CAS#: 942070-36-2 |
| 1348239 |
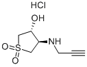
 |
trans-1,1-Dioxo-4-prop-2-ynylamino-tetrahydrothiophen-3-ol hydrochloride CAS#: 916901-10-5 |
| 1362137 |
 |
Benzene, 1-nitro-4-(2-propyn-1-yl)- CAS#: 944896-91-7 |
| 1356970 |
 |
Hydrazinecarboxylic acid, 1-(2-methylphenyl)-, methyl ester CAS#: 935474-44-5 |
| 1351453 |
 |
AKOS B021168 CAS#: 923005-18-9 |
| 1344742 |
 |
4-(6-MERCAPTOHEXYLOXY)BENZYL ALCOHOL CAS#: 912617-71-1 |
| 1341618 |
 |
4-(3-PROPYL-1,2,4-OXADIAZOL-5-YL)PIPERIDINE CAS#: 902837-03-0 |
| 1339016 |
 |
O-(B-ChloroEthoxy)BenzeneSulfonylIsocyanate CAS#: 99722-82-4 |
| 1353782 |
 |
3-[(6-Methylpyrazin-2-yl)oxy]benzenesulphonyl chloride CAS#: 926921-65-5 |